Methylene Blue and Methemoglobinemia: A breakdown of mechanism of action

Methylene blue (C₁₆H₁₈ClN₃S) is an antiseptic substance that can be used to treat fungal and minor bacterial infections. It is not very targeted, and more used for general cleaning than treating a specific type of infection.

⇠ Chemical structure of methylene blue

In addition to battling microbes, it can also be used to reverse the effects of nitrite and nitrate poisoning. When poisoning of either nitrogenous compound occurs, a condition called methemoglobinemia occurs in the blood. You may be familiar with hemoglobin, which is the protein responsible for transporting oxygen throughout the bloodstream. It is a very iron-rich protein, and in hemoglobin the iron in the heme group is in the ferrous state (Fe²+).

⇠ Hemoglobin chemical/protein structure

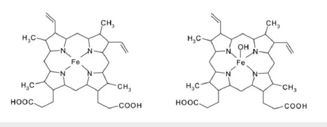
Nitrite and nitrate poisoning results in the hemoglobin protein structure being altered and methemoglobin is created. Methemoglobin is in the ferric state (Fe³+), and this electron difference is enough to alter the structure of the protein to the point of making it incapable of transporting oxygen. 

⇠ Hemoglobin structure (L) versus Methemoglobin structure (R) 

⇠ mechanism of action for the redox reaction

Methylene blue acts as a redox reagent, taking an electron from the ferric iron and oxidizing it into ferrous iron (also restoring the protein’s structure). Restoring protein structure restores protein functions.

This can make methylene blue a very favorable treatment option for nitrite and nitrate poisoning. As a reminder, ANY amount of nitrites are toxic, and nitrites above 2 ppm can be fatal. If nitrites are present in the tank, please remove and tub the axolotl immediately for their safety, and dose ammonia manually to mini cycle the tank. Nitrates above 20 ppm can begin to cause poisoning. If nitrates are above 20 ppm, a water change can be done to remedy. Percentage of water changed out will depend on the current nitrate ppm level.

The most widely available form of methylene blue for use with aquatic animals like axolotls.

Previous
Previous

🐾 Captive-Bred vs. Wild Axolotls: Why the Difference Matters

Next
Next

#PROTIP: How to keep your cycle going while your axolotl is tubbed